赣州市南康区唐江镇人民政府
2020年度部门决算
目 录
第一部分 赣州市南康区唐江镇人民政府概况
一、部门主要职责
二、部门基本情况
第二部分 2020年度部门决算表
一、收入支出决算总表
二、收入决算表
三、支出决算表
四、财政拨款收入支出决算总表
五、一般公共预算财政拨款支出决算表
六、一般公共预算财政拨款基本支出决算表
七、一般公共预算财政拨款“三公”经费支出决算
表
八、政府性基金预算财政拨款收入支出决算表
九、国有资本经营预算财政拨款支出决算表
十、国有资产占用情况表
第三部分 2020年度部门决算情况说明
一、收入决算情况说明
二、支出决算情况说明
三、财政拨款支出决算情况说明
四、一般公共预算财政拨款基本支出决算情况说明
五、一般公共预算财政拨款“三公”经费支出决算
情况说明
六、机关运行经费支出情况说明
七、政府采购支出情况说明
八、国有资产占用情况说明
九、预算绩效情况说明
第四部分 名词解释
第一部分 赣州市南康区唐江镇人民政府概况
一、部门主要职能
赣州市南康区唐江镇人民政府是主管唐江镇全面工作的区政府(区委)下设政府机构,主要职责是:落实国家政策,严格依法行政,发挥经济管理职能,加强政策引导,制定发展规划,服务市场主体和营造发展环境,搞好市场监管,大力促进社会事业发展,发展乡村经济、文化和社会事业,提供公共服务,维护社会稳定,全力推进新型城镇化建设,打造魅力新唐江。
二、部门基本情况
纳入本套部门决算汇编范围的单位共1个,包括:乡政府本级。
本部门2020年年末编制人数 129 人,其中行政编制 79人,事业编制 50人;年末实有人数 148人,其中在职人员88人,离休人员 1 人,退休人员59人。
第二部分 2020年度部门决算表










第三部分 2020年度部门决算情况说明
一、收入决算情况说明
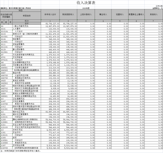
本部门2020年度收入总计 8379.62万元,其中年初结转和结余 0万元,较2019年减少 6227.08万元,下降 42.63%;本年收入合计 8379.62万元,较2019年减少6227.08万元,下降42.63%,主要原因是:唐江镇土地拍卖收入减少。
本年收入的具体构成为:财政拨款收入 8379.62万元,占 100%;事业收入 0万元,占 0%;经营收入 0万元,占 0%;其他收入 0万元,占 0%。
二、支出决算情况说明
本部门2020年度支出总计 8379.62万元,其中本年支出合计 8379.62万元,较2019年减少6227.08万元,下降42.63%,主要原因是:土地出让收入减少;年末结转和结余 0万元,较2019年增加(减少) 0万元,增长(下降) 0%,主要原因是:资金已安排使用。
本年支出的具体构成为:基本支出 2999.89万元,占 35.8%;项目支出 5379.73万元,占 64.2%;经营支出 0万元,占 0%;其他支出(对附属单位补助支出、上缴上级支出) 0万元,占 0%。
三、财政拨款支出决算情况说明
本部门2020年度财政拨款本年支出年初预算数为 8379.62万元,决算数为 8379.62万元,完成年初预算的 100%。其中:
(一)一般公共服务支出年初预算数为 1296.79万元,决算数为 1296.79万元,完成年初预算的 100%,主要原因是:预决算相符。
(二)文化旅游体育与传媒支出年初预算数为137.99万元,决算数为137.99万元,完成年初预算的100%,主要原因是:预决算相符。
(三)社会保障和就业支出年初预算数为157.8万元,决算数为157.8万元,完成年初预算的100%,主要原因是:预决算相符。
(四)卫生健康支出年初预算数为69.23万元,决算数为69.23万元,完成年初预算的100%,主要原因是:预决算相符。
(五)城乡社区支出年初预算数为6058.71万元,决算数为6058.71万元,完成年初预算的100%,主要原因是:预决算相符。
(六)农林水支出年初预算数为659.1万元,决算数为659.1万元,完成年初预算的 100%,主要原因是:预决算相符。
四、一般公共预算财政拨款基本支出决算情况说明
本部门2020年度一般公共预算财政拨款基本支出2340.51万元,其中:
(一)工资福利支出 1044.64万元,较2019年减少 304.76万元,下降 22.58%,主要原因是:基本支出压减了人员支出。
(二)商品和服务支出 551.63万元,较2019年增加157.71万元,增长40.04%,主要原因是:基本支出增加了城乡和社区事务支出。
(三)对个人和家庭补助支出 685.58万元,较2019年增加603.22万元,增长82.36%,主要原因是:基本支出中增加了对村民委员会和村党支部的补助支出。
(四)资本性支出58.66万元,较2019年增加48.189万元,增长460.27%,主要原因是:增加了办公设备及家具等资本性支出。
五、一般公共预算财政拨款“三公”经费支出决算情况说明
本部门2020年度一般公共预算财政拨款“三公”经费支出年初预算数为 108.7万元,决算数为 99.12万元,完成预算的 91.19%,决算数较2019年增加25.83万元,增长35.24%,其中:
(一)因公出国(境)支出年初预算数为 0万元,决算数为 0万元,完成预算的 0%,决算数较2019年增加(减少) 0万元,增长(下降) 0%,主要原因是无该项支出。决算数较年初预算数增加(减少)的主要原因是:无该项支出。全年安排因公出国(境)团组 0个,累计 0人次,主要为:无该项支出。
(二)公务接待费支出年初预算数为 60.63万元,决算数为 59.58万元,完成预算的 98.27%,决算数较2019年增加0.28万元,增长0.47%,主要原因是示范镇建设公务接待较多。决算数较年初预算数减少的主要原因是:在预算安排内严控公务接待支出。全年国内公务接待 783批,累计接待 6257人次,其中外事接待 0批,累计接待 0人次,主要为:示范镇建设公务接待较多。
(三)公务用车购置及运行维护费支出39.54万元,其中公务用车购置年初预算数为34万元,决算数为30.44万元,完成预算的 89.53%,决算数较2019年增加30.44万元,增长100%,主要原因是本年度购置了公务车,全年购置公务用车 2辆。决算数较年初预算数减少的主要原因是:在预算安排内控制公务车购置支出;公务用车运行维护费支出年初预算数为 14.07万元,决算数为9.1万元,完成预算的 64.68%,决算数较2019年减少4.89万元,下降34.95%,主要原因是厉行节约,压减了公务用车运行支出,年末公务用车保有2辆。决算数较年初预算数减少的主要原因是:厉行节约,压减了公务用车运行支出。
六、机关运行经费支出情况说明
本部门2020年度机关运行经费支出 610.29万元(与部门决算中行政单位和参照公务员法管理事业单位一般公共预算财政拨款基本支出中公用经费之和一致),较年上年决算数增加205.9万元,增长50.92%,主要原因是:办公设施设备购置经费增加,公务用车购置经费增加,办公费支出增加。
七、政府采购支出情况说明
本部门2020年度政府采购支出总额 58.66万元,其中:政府采购货物支出 58.66万元、政府采购工程支出 0万元、政府采购服务支出 0万元。授予中小企业合同金额 0万元,占政府采购支出总额的 0%,其中:授予小微企业合同金额 0万元,占政府采购支出总额的 0%。(省级部门公开的政府采购金额的计算口径为:本部门纳入2020年部门预算范围的各项政府采购支出金额之和,不包括涉密采购项目的支出金额。)
八、国有资产占用情况说明
截止2020年12月31日,本部门(单位)国有资产占用情况见公开10表《国有资产占用情况表》。其中车辆中的其他用车主要是圩镇秩序、治安巡逻用摩托车。
九、预算绩效情况说明
(一)绩效管理工作开展情况。
根据预算绩效管理要求,我部门组织对2020年度一般公共预算项目支出所有二级项目 1个全面开展绩效自评,组织对唐江镇新型农业经营主体带贫减贫奖补项目开展了绩效评价共涉及资金 35.75万元。
(二)部门决算中项目绩效自评结果。
唐江镇新型农业经营主体带贫减贫奖补项目绩效自评综述:根据年初设定的绩效目标,绩效自评得分为 97 分。项目全年预算数为 35.75万元,执行数为 35.75万元,完成预算的 100 %。主要产出和效果:连接带动148户贫困户,增加村集体收益8万元,改善了超过535人贫困户的收益,生活条件得到了较大改善。

第四部分 名词解释
名词解释应以财务会计制度、政府收支分类科目以及部门预算管理等规定为基本说明,可在此基础上结合部门实际情况适当细化。“三公”经费支出和机关运行经费支出口径必需予以说明。
一、财政拨款收入:指单位本年度从本级财政部门取得的财政拨款,包括一般公共预算财政拨款和政府性基金预算财政拨款。
二、上级补助收入:指事业单位从主管部门和上级单位取得的非财政补助收入。
三、事业收入:指事业单位开展专业业务活动及其辅助活动取得的收入;事业单位收到的财政专户实际核拨的教育收费等资金在此反映。
四、经营收入:指事业单位在专业业务活动及其辅助活动之外开展非独立核算经营活动取得的收入。(可结合部门实际收入情况举例说明)
五、其他收入:指单位取得的除上述“财政拨款收入”、“事业收入”、“经营收入”、“附属单位缴款”等以外的各项收入。
六、年初结转和结余:指单位上年结转本年使用的基本支出结转、项目支出结转和结余和经营结余。
七、年末结转和结余资金:指单位结转下年的基本支出结转、项目支出结转和结余和经营结余。
八、基本支出:指为保障机构正常运转、完成日常工作任务而发生的人员支出和公用支出。
九、项目支出:指在基本支出之外为完成特定的行政任务或事业发展目标所发生的支出。
十、经营支出:指事业单位在专业业务活动及其辅助活动之外开展非独立核算经营活动发生的支出。
十一、对附属单位补助支出:指事业单位用财政补助收入之外的收入对附属单位补助发生的支出。
十二、“三公”经费:指各部门因公出国(境)费、公务用车购置及运行费和公务接待费。其中,因公出国(境)费指单位公务出国(境)的住宿费、旅费、伙食补助费、杂费、培训费等支出;公务用车购置及运行费指单位公务用车购置费及租用费、燃料费、维修费、过路过桥费、保险费、安全奖励费用等支出;公务接待费指单位按规定开支的各类公务接待(含外宾接待)支出。
十三、机关运行经费:指为保障行政单位(含参照公务员法管理的事业单位)运行用于购买货物和服务的各项资金,包括办公费、印刷费、差旅费、会议费、日常维修费、专用材料及办公用房水电费、物业管理费、公务用车运行维护费等。
